深入理解初中数学的二次三项式概念
深入理解初中数学的二次三项式概念

每个概念都有视频讲解以及习题分析,由于平台只能上传一个视频,请大家学习完文字内容后,再观看视频。
一元二次三项式是一种常见的二次多项式。在因式分解的学习中,十字相乘法是一个很关键也很重要的方法,它所适用于的条件是:分解的式子必须是二次三项式。接下来我将详细讲解二次三项式的概念,方便接下来的学习
1 常规的二次三项式

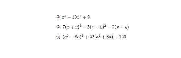
大家分析一下下面的例子,是不是二次三项式。

(2)二次齐次式

大家分析一下下面的例子,是不是二次三项式。

(3)二次三项式的整体视角(换元法)
要深刻理解换元的思想,这能帮助我们及时、准确地发现多项式中究竟把哪一个看成整体,才能构成二次三项式,以顺利地进行分解。同时注意已分解的两个因式是否能继续分解,如能分解,要分解到不能再分解为止。

分析完之后,可以点开视频进行学习

视频来了,喜欢的同学或者家长可以留言支持我一下!!!
视频加载中...
-
- 换机不换纸,手机精美壁纸收藏一波
-
2025-12-21 02:23:47
-
- 虐心佳作《丁香花菩提树》:步微澜作品,伪叔侄骨科总裁文
-
2025-12-21 02:21:32
-
- 2017年法网前瞻 男单老将称雄 上演三国演义
-
2025-12-21 02:19:17
-
- 长春动植物公园的前世今生
-
2025-12-21 02:17:03
-
- 新站区——一个被黑的最惨的区域
-
2025-12-21 02:14:48
-
- 河南大学金明校区将新建学生宿舍5480间
-
2025-12-21 02:12:34
-
- 二本医学院校大学排名及部分省份录取分数线参考
-
2025-12-21 02:10:19
-
- 中国经济产业带名城:河北永清县
-
2025-12-20 02:31:49
-
- 又省一笔钱!11家航空公司免收燃油附加费!
-
2025-12-20 02:29:34
-
- 深扒安若溪的快手史
-
2025-12-20 02:27:20
-
- 惊爆!世预赛惊天大逆转,国足逆袭出线!
-
2025-12-20 02:25:06
-
- 曾一手发动两场战争,如今75岁的美国前总统小布什,现状如何?
-
2025-12-20 02:22:51
-
- 中国到底有多强大
-
2025-12-20 02:20:37
-
- 特种部队那么神秘,全球作战最强的三大特种部队,都是谁?
-
2025-12-20 02:18:22
-
- 麻将馆就是婚姻介绍所,男人赢了钱请女人吃饭,女人输了,免了
-
2025-12-20 02:16:08
-
- 可颂坊--圆满如月,饼颂心意
-
2025-12-20 02:13:54
-
- 【独家】歌坛浪子王杰隐居加拿大7年!海景房养老生活曝光
-
2025-12-20 02:11:39
-
- 新公司法修改法定代表人相关规定,挂名法定代表人如何涤除?
-
2025-12-19 02:34:55
-
- 大消息:青岛胶东新机场二次环评 规划全景问世(图)
-
2025-12-19 02:32:41
-
- 为什么国内网民支持果敢同盟军的声音占主流?
-
2025-12-19 02:30:26



越南“第一美女”肤白貌美,性感气质佳
中国最脏的女明星排名(十大最不干净女明星)