概率论不存在了?抛了35万次硬币后,他们发现两面的结果不是1:1
概率论不存在了?抛了35万次硬币后,他们发现两面的结果不是1:1
这是一份最科学的抛硬币教程。
我们常会反复纠结某个问题而难以迅速作出决定,比如,今晚吃炸酱面还是麦当劳;又比如,要不要接受某个工作机会;或者是今晚要不要去跟 TA 表白……

图片来源:Giphy
这时,很多人会抛个硬币,用硬币的正反面替自己做出选择。甚至在一些重大场合,人们也常用抛硬币来做重要决定,比如世界杯球赛中,裁判员会通过抛硬币决定哪只队伍先开球。

图片来源:GIPHY
初中数学课本告诉我们,抛一枚质地均匀的硬币,得到正反面的概率相等。因此,人们认为硬币替自己做出的选择一定是公正的,没有私心的。不少数学家也做过实验证明,当抛硬币次数足够多时,得到正反面的频次接近 1:1,包括曾抛了 2 万多次硬币的数理统计学创始者卡尔·皮尔逊(Karl Pearson)。
但如果我现在告诉你,抛硬币得到两面向上的概率其实不相等,你又怎么看?
两面概率不相等
最近,一群无聊的科学家聚在一起,用 46 种不同的硬币抛了 350757 次,总耗时约 20 个小时。然后他们发现,抛出的硬币落下后,向上的那一面和硬币抛出前的初始面相同的概率略高,约为 51%。

他们就这样抛了 20 个小时的硬币。来源:Coin Tossing Team via YouTube
也就是说,假如你将硬币抛离手中时,它是正面向上,那最终硬币落下时,其正面向上的概率更高,反之亦然。
他们还发现,一些人抛硬币得到和起始面相同的那一面的概率更高;而另一些人则更接近理论值,即得到两面的概率都是 50%。他们将这项研究发表了在预印本网站 arXiv 上,还未经同行评审。
很显然,这说明,特定的抛硬币方式,或许可以让特定面向上的概率更高。
那么,有没有可能通过练习,让抛出去的硬币落下时,永远是自己想要的那一面向上呢?
理论上是可以的。
数学家佩尔西・戴康尼斯(Persi Diaconis)在成为美国斯坦福大学的数学和统计学教授之前,曾做过魔术师。他经常研究与“赌博”相关的数学,比如如何洗牌、如何掷骰子,当然也包括如何抛硬币。

热衷于纸牌、骰子、轮盘等的斯坦福数学家佩尔西・戴康尼斯。图片来源:Stanford University
早在 2007 年,戴康尼斯和他的团队就在论文中展示了一个抛硬币装置,这个装置将硬币抛出后落到指定位置,最终硬币向上的那一面在 100%的情况下都与它的起始面相同。

戴康尼斯和同事做出的抛硬币装置,抛出的硬币能100%得到与起始面相同的那一面。Diaconis et al, 2007
而人类在用手抛硬币时,也可以达到这样的效果,比如一些魔术师就可以通过一些技巧控制抛硬币的结果。

魔术师能控制抛硬币的结果。来源:SCAM NATION via youtube
其实如果掌握了原理,多加练习,你也可以做到。所以我们就先来学习一下原理,然后大家回家自己练习。
首先我们需要知道,标准情况下,抛向空中的硬币是怎样运动的。
忽略空气阻力的影响,当我们将硬币抛向空中,硬币会沿着一个位于硬币平面且平行于地面的“轴”,做翻转运动。学过物理的朋友们可以很快反应过来,这个“轴”正好是硬币旋转的角动量(angular momentum)所在的直线。

来源:Numberphile via YouTube

来源:Numberphile via YouTube,制图:冬鸢
然后我们用一点简单的中学物理来分析一下硬币的运动。


来源:wikiHow via YouTube
所以只要你能精确控制硬币的初速度、高度和翻转速度,就能精确控制抛硬币的结果(虽然可能有点强人所难)。
如果我们在硬币翻转了整数次时,做出转速ω关于时间t的图像,可以得到很多条双曲线,如下图所示:

图片来源:Diaconis et al, 2007
假如硬币初始面为正面,而翻转速度和时间(ω,t)落在图中的阴影里,最终正面向上;若是转速和时间位于阴影之外的空白部分,结果则是反面朝上。
但是,此时阴影部分的面积和空白部分的面积是相等的,得到正面和反面的概率仍然是 1:1。如果要出现上文提到的偏差,又该如何操作呢?
运动
以上分析是基于标准情况,抛出的硬币沿着平行与地面的“轴”翻转,也就是硬币旋转的角动量矢量平行于地面。
但戴康尼斯指出,这只是一种特殊情况。实际上,很多人抛出的硬币在空中旋转时,角动量是与地面不平行的。

仔细观察可以发现这枚硬币在空中并不是绕着平行与地面的“轴”翻转的。来源:Sound/Video Impressions via youtube
我们可以用如下的模型来解释:

图片来源:Diaconis et al, 2007
假设硬币抛出时正面向上,则垂直于硬币平面的法线( n )与角动量(M)会存在一个夹角(ψ),当硬币转动的轴与地面不平行(即 ψ 不为 90°)时,硬币法线 n 就会绕着角动量 M 旋转,这也叫进动(precession)。

戴康尼斯正在解释硬币翻转中的进动。来源:Numberphile via YouTube
若硬币在抛出后的t时刻落回手上,当此时硬币法线 N(t) 与垂直地面方向的向量 K 的夹角余弦 τ(t) 大于 0 时,硬币正面向上;小于 0 时,反面向上(起始面为正面)
而对于这个余弦 τ(t) ,我们可以用 τ(t)=cos2 ψ +sin2 ψcos(ωNt) 这个式子来计算,其中 ωN 为硬币法线绕角动量旋转的角速度。
如果我们将硬币的法线矢量N(t)在空中划过的区域看做一个球面,在这样的运动方式下,法线在上半球(正面向上)停留的时间是大于或等于在下半球(反面向上)停留的时间的。

图片来源:Diaconis et al, 2007
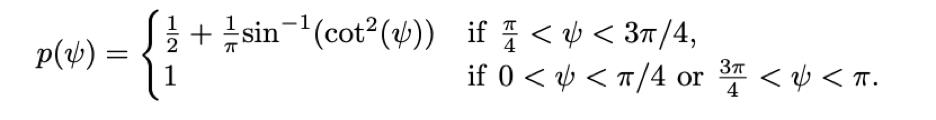
最终可以算出,如果硬币的起始面为正面,那么硬币落回手上时正面向上的概率与 ψ 的关系是:

用图像表示就是

图片来源:Diaconis et al, 2007
由此可以直观地看到,在硬币初始面为正面时,只有当 ψ 为直角,硬币落下时正面朝上的概率才是 1/2,其余情况下都大于 1/2。
而当 ψ 小于 45°时,硬币虽然也在旋转,但实际上整个过程中,并没有翻转到另一面。因此,在这种情况下,不论硬币抛得有多高,最终落下来时依然是和抛出时保持相同的一面向上——这便是抛硬币魔术师所使用的手法。

魔术师抛出的硬币在空中没有翻转至另一面。来源:SCAM NATION via YouTube
而当 ψ 为 0°时,硬币甚至可以没有竖直方向的翻转,完全直上直下。

来源:Numberphile via YouTube
事实上,这种运动方式在我们生活中非常常见,比较典型的,就是我们的地球。地球在自转的同时,赤道平面的法线也在绕一个轴转动:

看这地球的旋转像不像正在翻转的硬币?来源:Steven Sanders via youtube
总结一下就是,因为很多人抛出的硬币在空中翻转时存在进动,导致在给定硬币初始面的情况下,会使得最终硬币落回手上时,正反面向上的概率不相等。
不过,由于大多数人抛硬币的时候,不会关注硬币的起始面。因此,在起始面随机的前提下,抛硬币的最终结果,正反面概率仍然是 1:1(预印本论文中有证明过程)。
所以,以后如果和别人抛硬币打赌,你可以练一练上面教的抛硬币技巧来“作弊”;如果是别人抛硬币,那就让他不要用手接,让硬币直接掉地上,因为这会使硬币再弹起来,到空中再翻转几圈,使结果更加随机。

硬币掉在地上之后再弹起来。来源:Numberphile via YouTube
参考文献
[1]https://statweb.stanford.edu/~cgates/PERSI/papers/dyn_coin_07.pdf
[2]https://arxiv.org/abs/2310.04153
[3]http://gauss.stat.su.se/gu/sg/2012VT/penny.pdf
[4]https://en.wikipedia.org/wiki/Precession
[5]https://en.wikipedia.org/wiki/Angular_momentum
[6]https://en.wikipedia.org/wiki/Persi_Diaconis
[7]https://www.youtube.com/watch?v=AYnJv68T3MM
[8]https://www.youtube.com/watch?v=A-L7KOjyDrE
[9]https://www.youtube.com/watch?v=qlVgEoZDjok
[10]https://www.youtube.com/channel/UCZF_uxG9yEiuUkaFol16IBg
策划制作
来源丨环球科学
作者|冬鸢
责编丨杨雅萍
-
- 当AI遇见量子计算,会引发科学革命吗?
-
2024-04-08 16:02:37
-
- 每天吃 1 根油条,身体会发生什么变化?油条中铝含量真的超标?
-
2024-04-08 16:00:31
-
- 几十块和几百块的染发剂,究竟有什么区别?
-
2024-04-08 15:58:25
-
- 广州市区旅游攻略景点(广州有什么值得去的景点好去处)
-
2024-04-08 15:56:19
-
- 茅台迎宾酒43度12年(茅台迎宾酒53度回收多少钱)
-
2024-04-08 05:48:11
-
- 红酒鲜花配女人_红酒配鲜花的主题
-
2024-04-08 05:46:06
-
- 红酒世界怎么上传酒种?红酒世界怎么买期酒
-
2024-04-08 05:44:01
-
- 喝完红酒尿液怎么是红的(喝完红酒牙齿嘴唇都是黑的为什么)
-
2024-04-08 05:41:57
-
- 喝啤酒吃什么解酒(喝啤酒吃什么水果解酒)
-
2024-04-08 05:39:52
-
- 贵州之星酒52度(贵酒之星酒52度五星)
-
2024-04-08 05:37:47
-
- 散酒装瓶为什么不行呢(散酒装瓶为什么不行呀)
-
2024-04-08 05:35:42
-
- 去除自酿白酒中的甲醇(自酿白酒甲醇处理 *** )
-
2024-04-08 05:33:37
-
- 卢州老窖j精品头曲_卢州老窖精品头曲D12
-
2024-04-08 05:31:32
-
- 怀庄1983酒52度多少钱(怀庄1983酒的53度酱香型价格)
-
2024-04-08 05:29:28
-
- 红酒要怎么喝?红酒怎么调好喝
-
2024-04-07 06:16:21
-
- 红酒端午节,红酒端午节发圈的句子简短
-
2024-04-07 06:14:16
-
- 贵宾陈酿酒52度价格表(贵州贵宾酒三十年陈酿52度价格)
-
2024-04-07 06:12:10
-
- 度国藏1915价格查询(32度国井1915价格查询)
-
2024-04-07 06:10:04
-
- 蚌埠冰酒酿怎么做(蚌埠冰酒酿秘方)
-
2024-04-07 06:07:58
-
- balbo红酒(balbas葡萄酒)
-
2024-04-07 06:05:52



刘惜君到底和谁结婚了 她跟毛不易发生啥了
十大同性恋网站-同性恋网站有哪些-同性恋网站排行榜