温州二外录取通知书(录取名单出炉温州二外)
温州二外录取通知书(录取名单出炉温州二外)

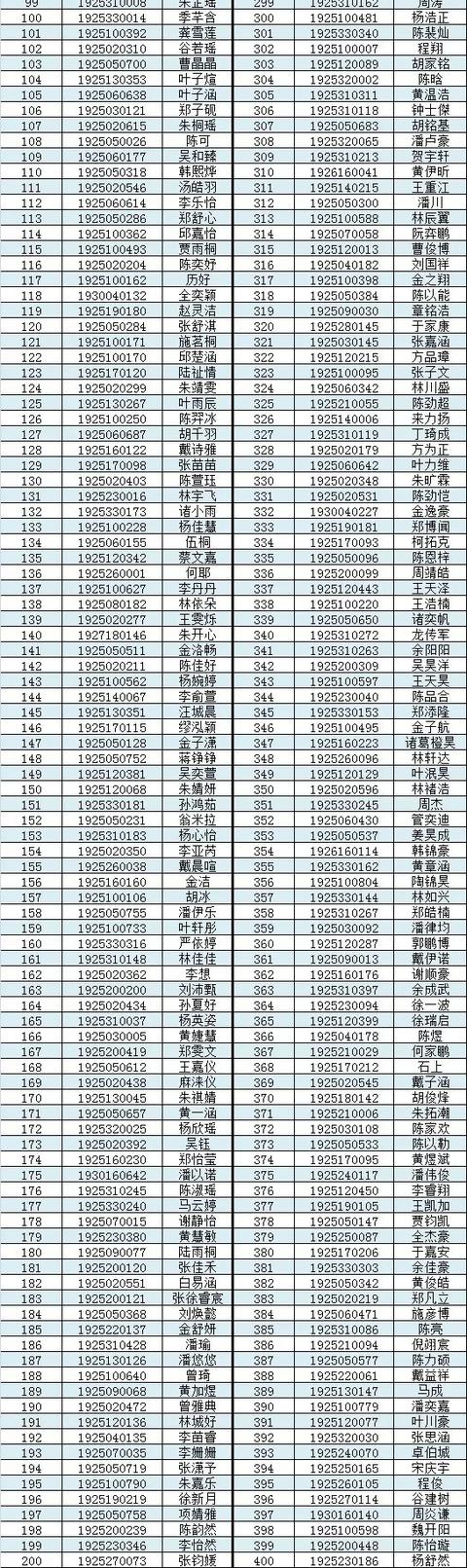
昨日上午,温州市教育局直属普通高中三校(温州市第二外国语学校、温州市第八高级中学、温州市第二十二中学)联合招生派位举行。除三校特长生、特色实验班人数等外,1602人通过电脑派位被分配到这三所学校。
均衡派位
根据《温州市教育局关于印发2019年市局直属(鹿城片区)高中招生工作实施办法的通知》(温教直〔2019〕55号)精神,温州市第二外国语学校、温州市第八高级中学、温州市第二十二中学统招实行联合招生。统一录取后根据各校招生计划,由电脑随机均衡派位,分配到三所学校就读,考生须服从电脑均衡派位。
根据招生计划,温州市第二外国语学校(以下简称“二外”)、温州市第八高级中学(以下简称“八高”)、温州市第二十二中学(以下简称“二十二中”)共招生44个班级,共1980人,其中二外12个班级540人,八高16个班级720人,二十二中16个班级720人。
按考生志愿、三所学校招生计划数和考生学业水平考试成绩择优录取原则,2019年三校联合招生录取分数线为575.5分。除三校特长生、特色实验班人数等外,三校统招录取人数为1602人,参加派位的考生1602人。出于人性化考虑,市教育局同意4对双胞胎考生家长要求安排在同一学校就读的申请,将4对参加三校派位的双胞胎考生,分别捆绑安排在同一单位参加均衡派位,以保障进入同一学校就读。
据悉,三校联合招生派位依据均衡随机派位原则,主要依据学业水平考试成绩顺序位、性别对上线考生进行排序,组成48个单位(每单位33人),余数18人。三校校长现场抽取顺序签,确定顺序,再依次按本校招生计划数分别在组成的48个单位和余数中随机抽取本校招收的学生。抽取结果出来后,现场以学校为单位出具录取名单,进行录取确认。派位完成后(即6月30日14时起),各校在校园网公布本校录取名单;考生可同时在温州中招系统查询本人录取情况。
录取名单
温州市第二外国语学校

(长按扫描二维码查看录取名单)
温州市第八高级中学录取名单(长按扫描二维码查看录取名单)温州市第二十二中学
(长按扫描二维码查看录取名单)
来源:温州发布
资料:市教育局、温州日报
编辑/版式:陈迪
大家都在看
➤保障民营经济健康发展法治论坛在温举行 助力新时代“两个健康”先行区创建
➤温州党员干部如何守初心?陈伟俊给大家上一堂新党课
➤ 想体验诗意山水风情,一定要收好温州这些精品旅游线路
➤ 温州市图书馆将于7月1日正式开馆!约上小伙伴看书去
➤ 每月最高可报销2214.4元!温州长期护理保险制度来了!
➤ 温州生活垃圾分类有了新标准!8月1日起实施



觉得内容不错,
点个“

”分享给更多人
,
-
- 欧洲与亚洲大陆的区别(欧洲和亚洲是完整的一块大陆)
-
2023-09-02 19:30:18
-
- 最全211大学名单(所有的211大学名单汇总)
-
2023-09-02 19:28:02
-
- 张家界自驾景观公路(张家界这出盘山公路)
-
2023-09-02 19:25:46
-
- 贝尔格里尔斯的现状(站在食物链最顶端的男人)
-
2023-09-01 22:33:14
-
- 昆明世博园开放时间及门票(昆明世博园免费开放啦)
-
2023-09-01 22:30:58
-
- 北京同仁堂最终处理结果(同仁堂为这件事道歉)
-
2023-09-01 22:28:42
-
- 美国和伊朗开战的可能性有多大(伊核协议达成在即)
-
2023-09-01 22:26:26
-
- 昆明每日鲜花批发价格(鲜花价格行情全线上涨)
-
2023-09-01 22:24:10
-
- 国内内窥镜厂家(专精特新企业在沈阳)
-
2023-09-01 22:21:54
-
- 韩国歌手金建模 韩国第一夫人金建希再度美出圈
-
2023-09-01 22:19:38
-
- 马尔代夫六善拉姆岛游记(离北京最近浪漫迷人的马尔代夫)
-
2023-09-01 22:17:22
-
- 重庆最大的山水之城(山水灵动之城雾都朦胧之地)
-
2023-09-01 22:15:06
-
- 国内最好的赤耳丹宁牛仔裤品牌(首个推出复刻牛仔的日本品牌Studio)
-
2023-09-01 22:12:50
-
- 新加坡是怎么发展的(新加坡现状带你看看一个真实的新加坡)
-
2023-09-01 01:15:51
-
- 厦门的婚纱摄影哪个好(厦门婚纱摄影工作室哪家好)
-
2023-09-01 01:13:33
-
- 四川最好茶(四川八大好茶有喝过的朋友)
-
2023-09-01 01:11:16
-
- 中华二十四节气谷雨(详解二十四节气)
-
2023-09-01 01:08:58
-
- 贵州一客车侧翻27人遇难事故调查(贵州一客车发生侧翻事故)
-
2023-09-01 01:06:41
-
- 德国高端小家电品牌(意大利名牌SMEG上天猫)
-
2023-09-01 01:04:24
-
- 浙江卫视83版射雕重聚完整版(83版射雕演员世纪同框)
-
2023-09-01 01:02:06



中国最脏的女明星排名(十大最不干净女明星)
搬家时放个鸡蛋什么意思 搬家时放个鸡蛋什么意思呀