楼梯踏步如何计算
楼梯踏步如何计算
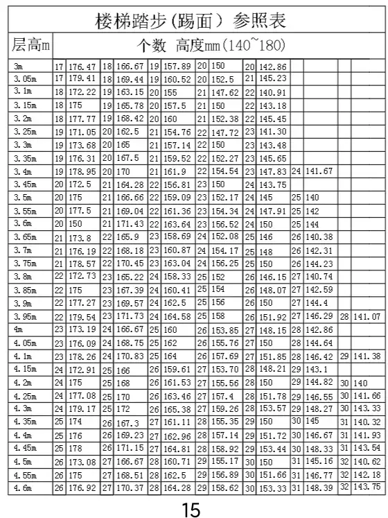
在建筑行业当中,楼梯一直是一个难点,很多初学者甚至一些老师傅都不会计算楼梯的踏步,今天就教大家一个简单易懂的楼梯踏步计算方法,为了更好的让大家学会楼梯踏步的计算,特意给大家整理了两张楼梯踏步的参照表。

楼梯踏步参照表,0.9米至2.95米。

楼梯踏步参照表,层高三米至4米6。
楼梯踏步参照表是如何使用的?首先我们只需要知道楼层的高度也就是层高,然后再对照我们的参照表,看一下需要做多少步?每一步的高度是多少?确定好步数以后我们再算出楼梯的总的长度,是不是感觉很简单。
下面给大家举个例子,例如楼梯的层高为三米,要求楼梯的步数为单数,那么接下来我们就可以利用我们的踏步参照表,在踏步参照表上先找到层高三米步数参照,楼梯的要求步数为单数,对照三米的参照表为单数的步数分别有17步和19步,踏步如果17步,那么每一个踏步的高度为176.47,踏步如果做19步,那么每一踏步的高度为157.89。两个选择我们自然会选19步的,因为19步的踏步高度要平一点,不是那么陡。知道步数以后我们就可以算,楼梯总的长度,如果我们做的是直跑楼梯,那么我们就需要18个脚踩面,也就是楼梯踏步的踩面数。楼梯踏步的宽度一般建议在25~30公分之间,如果每一步的宽度要求做30公分,那么我们就用300×18=5400毫米,也就是楼梯总的程度需要5.4米,如果是做双跑楼梯,我们总的步数就不能选单数了,那我们就要选双数了,因为楼梯的单双是走到休息平台以后为单数,双跑楼梯等于是两个直跑楼梯,每一个直跑的步数为单数,那么两个直跑数加起来它就是双数。如果是双跑楼梯,我们就要选踏步参照表上的双数的,18步和20步,如果楼梯踏步的宽度为30公分我们选总步数18步的,他们所需要的楼梯斜坡,水平长度为2.4米,你学会了吗?
-
- 法海是蛇吗 法海真身是蟒蛇神吗
-
2025-02-21 07:03:47
-
- 电影《春苗》:一部反映农村医疗变迁的经典之作
-
2025-02-21 07:01:31
-
- 从“社会你球姐”到“小球球吖”看赵本山女儿的变化
-
2025-02-21 06:59:15
-
- 家庭矛盾如何处理
-
2025-02-20 15:26:22
-
- 端午节挂的菖蒲、艾叶原来这么有学问,你一直挂对了吗?
-
2025-02-20 15:24:07
-
- 阿根廷共和国
-
2025-02-20 15:21:51
-
- lol背景故事全揭秘,带你了解全英雄(暗影岛篇)
-
2025-02-20 15:19:35
-
- “百鸟朝凤”怎么叫出来的?又与哪些传统文化相关联?
-
2025-02-20 15:17:19
-
- 职业选手的外号由来,UZI为何被叫做小狗?LWX怎么成了大聪明?
-
2025-02-20 15:15:03
-
- 有天我睡醒看到我的身边没有你
-
2025-02-20 15:12:47
-
- 三生三世:既然青丘如此厉害,那为何四海八荒的主人却是天族呢?
-
2025-02-20 15:10:31
-
- 人生中最低谷的日子你是怎么扛过来的?在等等苦难总会熬过去的
-
2025-02-20 15:08:15
-
- 戚砚笛与神秘男子的恋情疑云
-
2025-02-20 15:05:59
-
- 逞凶四十余年—日本明治二十一年式280毫米臼炮
-
2025-02-17 20:54:31
-
- 兖州酒仙桥,一个有"酒"也有故事的地方!
-
2025-02-17 20:52:15
-
- 什么是 Tabata 锻炼?以及如何训练才能减肥?
-
2025-02-17 20:49:59
-
- 「宣城论坛人才网」都是好工作!最新招聘信息来啦
-
2025-02-17 20:47:43
-
- 十大搞笑小说排行榜,让你笑的浑身抽筋打颤
-
2025-02-17 20:45:27
-
- 语聊APP陷“关停潮” 强监管下声音社交何去何从(1)
-
2025-02-17 20:43:11
-
- 杨紫18天瘦22斤减肥秘诀在这里,做到了你也能瘦
-
2025-02-17 20:40:55



中国最脏的女明星排名(十大最不干净女明星)
“黄鳝门”!女主播为了一万元打赏,将黄鳝塞进下 体3小时!