多普勒效应公式讲解(星际航行之多普勒效应)
多普勒效应公式讲解(星际航行之多普勒效应)
对于亚光速飞船来讲,我想大家最先想到的应该是下面介绍的现象——多普勒效应。
一个举烂了的例子,当我们站在马路边上时,一辆救护车鸣笛而来,鸣笛而去,在鸣笛而来时,声音会逐步变高,在鸣笛而去时,声音会逐步变低,这说明了什么问题?

是救护车的司机开启了小差,在开车的同时,还不忘摆弄喇叭声音?还是这个喇叭就是这个设定,一会高一会低?
都不是,这种现象纯粹是相对运动导致的,在救护车朝我们开来时,声音的频率会升高,那是因为救护车在运动,比方说救护车喇叭设定的是一秒钟响三回,对于救护车上的人来说,在整个过程中,声音的频率的确是这样,但对于马路上的我们来讲,由于救护车在每个响声之间都会移动一段距离,因此每个响声之间的距离间隔就减少了,于是在我们的耳朵听来,就好像频率加快了。
然而不同于我们刚才所说的声音的多普勒效应,因为在太空环境中,像什么声音之类的机械波是不存在的,只有光波比较常见,因此我们在亚光速飞船中,会遇到光的多普勒效应。

位于飞船内部的宇航员会发现这样的情况,从飞船前方看到的景象,普遍都有带有蓝紫色,而飞船后方看到的景象,则普遍带有暗红色,这两个方向上的场景分别对应着多普勒效应里的蓝移和红移。
实际上但从这样的描述看来,光的多普勒效应和声音的多普勒效应没有什么区别,因为光线的蓝移和红移,本质上就是光子能量的变化,蓝移代表光子频率上升,能量增加,而红移则代表频率下降,能量减少,虽然描述上和一般的多普勒没有什么不同,但关键在于定量的公式上是有差别的
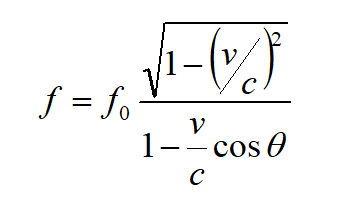
下图是光的多普勒效应公式

其实相比于普通的多普勒效应,光的多普勒效应的核心就在于光速不变原理,无论飞船是远离还是靠近光源,测得的光速永远是一个定值(这与我们通常认为的速度叠加不同),正是光速不变这一点,才有了后来的狭义相对论。
那么在光的多普勒效应的推导中,就会用到狭义相对论中的钟慢公式,详细情况就不多做介绍了。

然而事情还没有结束,飞船内的宇航员除了发现飞船前后两个方向的景象发生的蓝移和红移之外,随着速度的进一步提升,他们竟然发现了一个更加神奇的现象,原本分布在飞船四周的景象,全都被挤压到飞船前方的一块区域内了,包括那些原本只能在飞船侧面和后面看到的场景。
-
- 冰箱不制冷原因和解决方法(了解4个原因,你就不用花钱给机械师了)
-
2024-01-03 23:42:48
-
- 爱哭怎么办怎样克制(在我哭泣的时候请停止讲话 五招教你摆脱爱哭鬼)
-
2024-01-03 23:40:43
-
- 中国人放鞭炮的意义,专家称是最科学的!
-
2024-01-03 23:38:38
-
- 怎么可以使睫毛变长(怎样让眼睫毛自然变长 7种天然增长睫毛的方法)
-
2024-01-03 23:36:33
-
- 孕前体检项目 孕前检查需要注意什么?女性孕前检查项目有哪些
-
2024-01-03 23:34:28
-
- 柚子有点苦是怎么回事?柚子肉吃着发苦还能吃吗?
-
2024-01-03 23:32:23
-
- 鞋带的系法大全(掌握这10种鞋带的系法大全,什么脚型都能hold住)
-
2024-01-03 23:30:18
-
- 图文排版设计 图文排版超实用的五个套路
-
2024-01-03 23:28:13
-
- 什么叫黑盒测试法(黑盒测试是什么及其测试方法)
-
2024-01-03 23:26:09
-
- 怎么样炒猪肝?不焯水不过油,直接炒,猪肝滑嫩无腥味
-
2024-01-03 18:27:28
-
- 右脑开发音乐有哪些呢(什么音乐能开发孩子的右脑?这些特质的音乐能让“听觉脑
-
2024-01-03 18:25:22
-
- 糖尿病的并发症有哪些呢(糖尿病不可怕,最可怕的是这4种常见并发症!一个比
-
2024-01-03 18:23:16
-
- 什么是循证医学 什么是循证医学
-
2024-01-03 18:21:10
-
- 热水器2个阀门都要开吗 电热水器下面两个阀门是什么?
-
2024-01-03 18:19:04
-
- 糯米粉的家常做法,简单又好吃,软软糯糯还不粘牙,太香了
-
2024-01-03 18:16:58
-
- 惊蛰的意思是什么?
-
2024-01-03 18:14:51
-
- 肩周炎怎么治疗好 肩周炎最佳治疗方法有哪些?3种治疗手段比一比
-
2024-01-03 18:12:45
-
- 变性人能过吗 医生揭秘:变性手术过程一般是这样的
-
2024-01-03 18:10:40
-
- 鲍鱼的简单最佳吃法, 超简单又好味的蒜蓉蒸鲍鱼,
-
2024-01-03 18:08:33
-
- 菌种保存用什么方法(简单实用~教你冰箱保藏菌种方法)
-
2024-01-03 09:02:51



刘惜君到底和谁结婚了 她跟毛不易发生啥了
十大同性恋网站-同性恋网站有哪些-同性恋网站排行榜