他是华人数学的王者,沃尔夫数学奖得主,被誉为“微分几何之父”
他是华人数学的王者,沃尔夫数学奖得主,被誉为“微分几何之父”
他是国际上最具影响力的华人数学大师,沃尔夫数学奖得主;他被人称为“微分几何之父”,也被誉为“20世纪伟大的几何学家”,他就是数学大师——陈省身。10月28日是陈省身先生诞辰108年纪念日,谨以此文,向陈老致以崇高的敬意!

陈省身
陈省身的几何人生
1911年10月28日,陈省身出生在浙江嘉兴秀水县下塘街道。这个地方就像它的名字一样山清水秀,人杰地灵。陈省身的父亲陈宝桢是清末秀才,他从小就收到良好的家风熏陶。

陈省身与父亲合照
8岁时陈省身开始上学,由于对老师的教育方式不满意,他就一直在家自学小学内容。当时家里的三大厚本的《笔算数学》成为陈省身的数学启蒙读物,他经常沉浸其中研究里面的数学题。陈省身的自学能力非常强,书中较难的题目他都能解出来,他还经常看一些中译本的国外数学书,这为他打下了良好的数学基础。

笔算数学
9岁那年,他考入秀州中学读预科一年级,此时的他在数学方面已经非常厉害了,能做出相当复杂的数学问题。11岁时,由于家庭的原因,陈省身随父亲迁居天津,插班进入扶轮中学学习。
1926年,15岁的陈省身顺利考入南开大学数学系。当时的南开大学的数学系只有姜立夫一位老师,他的这位老师可是个了不起的人物,对陈省身以后在数学方面的发展起了很大的作用。姜立夫是哈佛大学留学归来的学者,他一手创办了南开大学数学系,他是中国现代数学的奠基人之一。俗话说“虎父无犬子”,姜立夫的儿子就是北京大学教授,中科院院士姜伯驹。

姜立夫教授
1930年,陈省身南开大学毕业后进入清华大学担任助教,一年后,他师从孙远光博士攻读硕士学位,研究射影微分几何。当时和他一起在清华读书的还有华罗庚,两人很快成为非常要好的朋友。1934年,陈省身获得清华大学硕士学位,他是中国人自己培养的第一个名数学研究生。
1934年11月,陈省在清华大学的资助下到德国汉堡大学攻读博士学位,师从著名的微分几何学家威海姆•柏拉须开。1936年2月,陈省身就以《关于网络的计算》和《2n维空间中n维流形三重网的不变理论》获得了博士学位。别人至少需要三年的时间才能拿下的博士学位,他仅仅用了1年零3个月,不仅如此,他的博士论文还入选了汉堡大学数学讨论会论文集。

德国 汉堡大学
博士毕业后,在他的老师柏拉须开的推荐下,陈省身前往法国巴黎,在国际数学大师埃利•嘉当门下学习微分几何。埃利•嘉当可是微分几何界的大人物,他在“活动标架”的微分几何中做出了开创性的贡献,嘉当-流形上的分析是当今最为活跃的数学分支之一,而嘉当是这个领域的重要缔造者。嘉当的理论非常晦涩难懂,但陈省身却能很快悟出其中深刻的道理。陈省身在几何学习方面的天赋得到了埃利•嘉当的认可和重视。虽然当时的埃利•嘉当年事已高,但仍坚持每两周和陈省身见一次面,进行当面点拨。陈省身在巴黎待了短短10个月的时间,但他的微分几何水平得到了极大的提高,这为他一生的学术事业奠定了坚实的基础。

埃利•嘉当
1937年抗日战争爆发后的第三天,陈省身回到中国。他随清华大学转战云南,在西南联合大学(当时的西南大学是由清华大学、北京大学和南开大学合并而成)任教,讲授微分几何。在西南大学的那五年陈省身一直很努力,除了教授新课他还坚持搞科研、写文章,并把文章寄到国外发表。

战火中的西南联合大学
1943年,他应美国数学家维布伦和外尔邀请到普林斯顿高等研究院工作。当时的普林斯顿高等研究院是世界数学的中心,是当时世界上最好的研究数学的地方,就像当年德国的哥廷根大学。陈省身一生中最重要的工作是在普林斯顿完成的。

普林斯顿高等研究院
1944年,陈省身发表了他的划时代论文《闭黎曼流行的高斯-博内公式的一个简单内蕴证明》。他将高斯-博内公式推广到高维曲面和紧致流行上,这一研究成果引起了国际微分几何学界的震惊。

陈省身代表作1:闭黎曼流行的高斯-博内公式的一个简单内蕴证明
1946年他发表了第二篇代表作《埃尔米特流形示性类》。这两篇论文奠定了陈省身在微分几何学的地位,著名的“陈示性类”对整个数学乃至物理的发展都产生了广泛而又深刻的影响。

陈省身代表作2:埃尔米特流形示性类
1946年抗战胜利后他重返中国,在姜立夫的推荐下,陈省身负责中央研究院数学研究所的筹办工作并担任所长。在此,他培养了一批知名的拓扑学家,如吴文俊、廖山涛、陈国才等。
1949年初,陈省身受著名物理学家奥本海默的邀请再次前往美国,并到芝加哥大学任教。1960年,陈省身到加州大学伯克利分校工作,并于第二年被评为美国科学院院士,担任美国数学学会副会长。退休之前他一直在加州大学伯克利分校工作,在此他培养了31名博士研究生,包括后来获得菲尔兹奖及沃尔夫数学奖的丘成桐。

加州大学伯克利分校
1981年,他与辛格和摩尔一起在加州大学伯克利分校创办了数学科学研究所,这是美国的第一所纯数学研究所,陈省身出任首任所长。
退休后,陈省身把自己的余生奉献给了祖国,他定下一个目标“让21世纪中国成为数学打过”。他是这么说的也是这么做的,具体贡献见第三节。
微分几何领域的伟大成就
陈省身在微分几何的两项重要成果是:高斯-博内特-陈定理和Hermitian流形的示性类理论。
1、关于微分几何
微分几何是利用微积分理论研究空间的几何性质的数学分支。与古典微分几何研究空间的曲面和曲面不同,现代微分几何主要研究更为一般的空间——流形。微分几何与拓扑学等其他数学分支有紧密的联系,对物理学的发展也有重要影响。爱因斯坦的广义相对论就以微分几何中的黎曼几何作为其重要的数学基础。
高斯-博内定理是微分几何中的一个经典定理,是古代几何学与现代几何学的分水岭,它建立了起了黎曼流行的局部性质与整体性质之间的联系。

高斯-博内公式
等式左端的积分表示高斯曲率k在定向闭曲面D上的积分,χ(D)是空间D上的欧拉示性数,等于1减去曲面上孔的个数,是通常多面体欧拉数v-e+f的推广(其中的v, e, f分别表示多面体的顶点数、棱数和面数)。

多面体欧拉公式
二维紧致黎曼流形上的高斯-博内公式是经典的微分几何的一个高峰,数学家们试图把它推广到高维紧致黎曼流形上。1942年,安德烈•韦依和卡尔•阿伦道夫证明了任意黎曼流形上的高维高斯-内博公式。他们证明了高斯-博内公式不但在平面上成立,在任何偶数维曲面空间或流形上也成立。但他们的证明依赖于球丛结构,并且是非内蕴结构。
1943年陈省身采用内蕴丛(长度为1的切向量丛)给出了《闭黎曼流行的高斯-博内公式的一个简单内蕴证明》,这一证明成为现代微分几何的出发点,打开了示性类微分几何的大门。

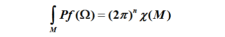
陈-高斯-博内公式
公式中的M表示一个无边界的2n维空间(宇宙),χ(M)是空间M上的欧拉示性数,当n=1时,χ(M)表示空间内孔的个数,Ω是这个空间的曲率。如果知道空间上每一点的曲率,利用这个公式就可以得到宇宙总体形状的信息。
举个例子 如果你住在一个弯曲的空间(流形)M中,可通过测量每一点的曲率(Ω)来得到我们整个空间或宇宙M的一些整体情况。∫Pf是对流形上每一点曲率进行某种特定计算后无限累加。
2、为什么陈-高斯-博内定理如此重要呢?
首先,陈省身的证明引用了内蕴丛,使得整个问题得到了彻底解决;其次,陈省身首创了纤维丛的概念,这一证明开创了全新的领域,整体拓扑通过纤维丛以及切球丛上的超渡,与内蕴几何建立了联系;陈省身的内蕴证明及示性类的引进,使得高斯-博内-陈定理与指标定理联结;这一证明孕育了陈示性类和超渡思想的诞生,开创了整体微分几何学的新时代;他建立了代数拓扑和微分几何的联系,推动了整体几何的发展。
3、获得沃尔夫数学奖
在数学领域,沃尔夫奖与菲尔兹奖是公认的与诺贝尔奖相媲美的数学大奖。1984年,陈省身获得沃尔夫数学奖。证书上写着:“此奖授予陈省身,因为他在整体微分几何上的卓越成就,其影响遍及整个数学。”

沃尔夫奖奖牌
“天衣岂无缝,匠心剪接成。浑然归一体,广邃妙绝伦。造化爱几何,四力纤维能。千古寸心事,欧高黎嘉陈。”——杨振宁
在华人数学家中,陈省身有着至高无上的地位,俄罗斯评选的20世纪数学家排名中,陈省身排在第31位,在几何学家的评中,位列欧几里得、高斯、黎曼、嘉当之后。这个排名与杨振宁赞美陈省身成就的诗句“千古存心事,欧高黎嘉陈”不谋而合。陈省身对整个微分几何的深远贡献,影响了整个数学界,被公认为“20世纪伟大的几何学家”。
为中国数学发展做出的贡献
陈省身虽然一直在国外发展,但他时刻想着回报祖国。在国外工作及研究期间,他曾多次回国,但由于一些客观原因他每次又不得不离开。新中国成立后,陈省身对祖国数学的发展及对国内年轻人不余遗力的提携让人感动和敬佩。
1、他的学生们
丘成桐 是陈省身最得意的学生,美国哈佛大学数学系主任,首位获得了菲尔兹奖的华人,2010年获得了沃尔夫数学奖。

菲尔兹奖、沃尔夫数学奖得主——丘成桐
杨振宁 诺贝尔物理学奖得主,中国科学院院士、美国科学院院士。
杨振宁在做物理“规范场论”杨-米尔斯研究时,用的就是陈省身的纤维丛理论,他为陈省身-韦伊定理的美妙感到非常的震惊。

诺贝尔物理学奖获得者——杨振宁
虽然丘成桐和杨振宁的成就是在美国取得的,并加入美国国籍,但他们是华人的骄傲。
吴文俊 数学家,中国科学院院士,中国科学院数学与系统科学研究院研究员,系统科学研究所名誉所长。2001年,吴文俊获得了第一届国家最高科学技术500万元大奖,他是中国数学机械化研究的创始人之一。

吴文俊院士
2、推动中国数学的发展
陈省身先生虽然身在大洋彼岸,但一直心系国家。退后后,他为中国数学的发展做出了巨大贡献。他想要在中国建立一个培养数学人才的基地,最后选在了他的母校南开大学。

陈省身给胡国定的书信,对南开数学所的筹建的建议1

陈省身给胡国定的书信,对南开数学所的筹建的建议2

教育部颁发的聘请陈省身为南开数学研究所所长的聘书
1985年,陈省身在他的母校南开大学创办了南开大学数学研究所,致力于在21世纪将中国建成数学强国的伟大事业。在成立大会上,陈省身在发言最后说:“我将为中国数学、南开数学,鞠躬尽瘁,死而后已。”

南开大学数学研究所成立大会
南开大学数学研究所成立之后,每年都会围绕一个数学重点方向,从全国各地选拔优秀学生和教师进行培养,对一些前沿课题进行攻关。陈省身还利用自己的影响,引进国际著名学者来学校讲学。

陈省身在南开大学数学研究所
在南开大学期间,陈省身在年近90的情况下还坚持给本科生上课。他经常搞一些学术活动,1999年10月份,开办了津京几何工作营,凭着自己在学术界的影响和地位,经常请一些数学家做讲座。同时还搞试点班,并亲自参与培训,旨在发现有数学天赋的好学生重点培养。
1998年,他把自己积蓄的三分之一拿出来创立了“陈省身基金”,用于供南开数学所发展使用,他说南开大学数学所是他的第三个孩子。
2000年1月11日,陈省身担任天津科技馆名誉馆长。2002年8月18日,由他倡导建立的天津科技馆数学厅在天津落成并对外开放,这是国内首家数学馆。

天津科技馆——数学馆
2002年8月20日-28日,在陈省身的努力下,第24届国际数学家大会在北京举行,这届会议称为历史上最大的一届数学会议。

第24界国际数学家大会
另外,陈省身还非常关注青少年的数学教育,2002年,在他倡议下中国少年科学院推出了走近美妙数学花园论坛,并设置了“走美杯”竞赛,然后向全国少年儿童推广,他还为活动题词——数学好玩。目前这项竞赛已成为中小学最知名的数学竞赛之一。

陈省身题词——数学好玩
2001年,为了吸引更多优秀的世界级数学家和学者来南开,陈省身倡议在南开大学建造一个够规模的国际数学研究中心。2003年开始施工建设,陈省身每天都要坐着轮椅去工地看一看,就像一位父亲期盼着自己的孩子一天天长大。只可惜,他终究还是没有等到大楼建起来的那一天。
2004年12月3日,陈省身先生与世长辞,享年93岁。

陈省身数学研究所
结语
陈省身先生的一生对数学的执着,对回报祖国的满腔热忱和对年轻人不遗余力的提携让人感动和敬佩。这里引用纪录片《山长水远:陈省身的一生》中的结束语来结束这篇文章:
“善有果而已,不敢以取强,果而勿矜,果而勿伐,果而勿骄,果而不得已,果而勿强,物壮则老,是谓不道,不道早已。”——《道德经》
-
- 染缸里的传承恩怨:除了父子“恩断义绝”就没有更好的选择?
-
2023-12-06 17:12:25
-
- 擦玻璃器双面擦怎么用(窗户外面难清洁?教你一妙招:一擦两面净,内外玻璃一
-
2023-12-06 01:26:34
-
- 待产期 生孩子需要多长时间?有什么注意事项和经验?
-
2023-12-06 01:24:29
-
- 皮疹症状 各类皮疹发生的主要原因及症状!
-
2023-12-06 01:22:24
-
- 营养中餐食谱大全(中餐必学的14道家常好菜,开胃下饭,做法简单,配上米饭吃
-
2023-12-06 01:20:19
-
- 洛阳纸贵的主人公是谁?你知道吗?
-
2023-12-06 01:18:14
-
- 法兰绒面料——一个可以一边称霸地摊,一边玩转绅装顶级盛宴的面料
-
2023-12-06 01:16:09
-
- 曾轶可凭什么备受质疑,却能成为09年超女发展最好的?
-
2023-12-06 01:14:04
-
- 天津属于哪个省?(“对不起,我们是天津人!”)
-
2023-12-06 01:11:59
-
- n95口罩白色塑料卡扣是起什么作用?
-
2023-12-06 01:09:54
-
- 英语论文答辩技巧大全(英语论文答辩开场白与技巧(专业角度讲解))
-
2023-12-06 01:07:49
-
- 纯干货攻略|南部山区美景大盘点,济南人游玩必备
-
2023-12-05 21:07:03
-
- 《逃出绝命镇》是近年来最好的恐怖片的八个理由
-
2023-12-05 21:04:57
-
- 热血江湖手游:逆版本冷门职业,来去如风,正派刺客全攻略
-
2023-12-05 21:02:51
-
- “恶魔总统”苏哈托:残害50万华人生命,独裁32年贪腐450亿美元
-
2023-12-05 21:00:44
-
- 2013年,褚健涉嫌贪污入狱三年,出狱后再创业,中央拨2758万支持
-
2023-12-05 20:58:38
-
- 3193名开国大校,仅有一位后晋升为上将!他是谁?有何过人之处?
-
2023-12-05 20:56:32
-
- 哪些食物含钙高最高(补钙别只吃钙片,4种天然“高钙食物”,是补钙好帮手)
-
2023-12-05 11:08:28
-
- 精油的正确使用方法 ,学会4种“升级”用法,皮肤越用越好
-
2023-12-05 11:06:23
-
- 贾元春究竟是怎么死的(贾元春究竟是怎么死的?死时究竟有多惨?监禁中被人用
-
2023-12-05 11:04:18



刘惜君到底和谁结婚了 她跟毛不易发生啥了
十大同性恋网站-同性恋网站有哪些-同性恋网站排行榜