高中物理公式总结最新版快来学习(家有高中生必备)
2023-08-03 11:57 来源:去可网 点击:
高中物理公式总结最新版快来学习(家有高中生必备)
下面是向学霸进军为高中的学生们整理的2021版高考备考之高中物理公式 全部知识点结构图,以供参考。
高中物理公式大全
1、匀变速直线运动



2、平抛运动

3、圆周运动

4、天体运动

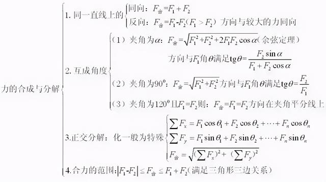
5、力



6、常见力做功的计算公式

7、功能关系与能量守恒

8、带电粒子在电场中运动

9、带电粒子在磁场中运动
高中物理15张精华知识结构图
匀变速直线运动

牛顿运动定律

动量守恒定律

功和能

机械波

机械振动

曲线运动

物体

电荷

气体

重力场电场

电动势

电流

磁通量

电磁感应

本文由公众号《向学霸进军》整理编辑
,
相关标签:
-
- 公寓与住宅的区别在哪(公寓与普通住宅到底有什么区别)
-
2023-08-03 11:54:58
-
- 各大国际学校收费标准(相较于公立学校)
-
2023-08-03 11:52:51
-
- 大脸发量多的女生适合的短发发型(今年流行的短发发型)
-
2023-08-03 11:50:46
-
- 高考语文字体哪种好(高考使用不同字体)
-
2023-08-03 11:48:40
-
- 公众号排版小神器(7款公众号图文排版工具)
-
2023-08-03 11:46:33
-
- 如何清洁马桶?马桶黄渍怎么办
-
2023-08-03 00:32:42
-
- 如何健康丰胸
-
2023-08-03 00:30:38
-
- 圆雕是什么?圆雕和浮雕的区别
-
2023-08-03 00:28:33
-
- 用这些食物巧妙清洁污渍
-
2023-08-03 00:26:28
-
- 星点龙鱼吃什么?星点龙鱼怎么养?
-
2023-08-03 00:24:23
-
- 吸收甲醛的植物
-
2023-08-03 00:22:18
-
- 猫猫兔仔兔的管理-猫猫兔幼兔的饲养管理
-
2023-08-03 00:20:14
-
- 给猫咪做绝育手术需要注意的事项
-
2023-08-03 00:18:09
-
- 贾丁氏鹦鹉的简介 贾丁氏鹦鹉的外形特征
-
2023-08-03 00:16:04
-
- 滴水观音是什么?滴水观音怎么养护?
-
2023-08-03 00:13:59
-
- 穿书文推荐起点文男主是我爸(穿成年代文男主亲妈)
-
2023-08-02 22:33:41
-
- 从化值得去的景点推荐(免费景点攻略请收好)
-
2023-08-02 22:31:35
-
- 惠普的裁员之道(独家惠普员工来信)
-
2023-08-02 22:29:28
-
- 促进中部地区崛起十三五规划(将打造一主一副四辅的发展格局)
-
2023-08-02 22:27:21
-
- 高频变压器型号及参数解读(高频变压器测试之详细介绍)
-
2023-08-02 22:25:14



刘惜君到底和谁结婚了 她跟毛不易发生啥了
十大同性恋网站-同性恋网站有哪些-同性恋网站排行榜