初高中数学知识衔接整理(初升高数学衔接最重要的两个知识点)
初高中数学知识衔接整理(初升高数学衔接最重要的两个知识点)
各位读者们你们好,我今天决定开始写教学内容,全部内容均由我亲自码字上传发布。争取用最通俗易懂的文字,把问题解释清楚,无论你是不是学生,都可以尝试通过阅读去思考问题。每一篇文章的篇幅我会控制在1500-2000字之间,尽量减少大家的阅读疲劳。

如果您是家长,建议收藏方便今后给孩子们参考,阅读后倘若家长您也能接受的话,那孩子就更不用说了,说不定还可以帮助到您与孩子的沟通哦。
请按照我的思路跟着一起思考哦,遇到题目时可以停一停,想一想,还可以写一写,题目选的都是相对较浅的,请不要有思想负担。
首先,要明确“衔接内容”并不意味着是未知的知识点,它也有可能在你初中时就已经接触过。但是老师把它提出来的原因,就是想让你们认识到:上到高中后,这部分知识都是基础,基础到就像初中时要你面对“一加一等于二”一样。

不同的高中、不同的老师,都会有不同的教学方式。有很多老师很有可能不会重新提到这些内容,因为教材上没有对应专门的章节,并且老师很多时候都是默认你们已经掌握了,并不会细讲下去。
接着我们就正式开始吧。衔接最重要的两个知识点分别是
第一章:代数式的变形
1.因式分解、2.有理化、3.分离常数法
第二章:二次函数与不等式。
1.方程、2.函数、3.不等式

1-1因式分解
把一个多项式化成几个整式的乘积形式,这种变形我们把它称之为因式分解。
对于因式分解,初中是有明确学习过的,因式分解可以通过提取公因式或者直接应用公式。
我们常见的因式分解公式有:

以上公式①②是必须记住的,③④是高中偶尔遇见,⑤⑥就更少见,只不过给你们提出来可以多了解了解。
因式分解里有一个方法叫做十字相乘法,是针对“ax² bx c”的形式使用的方法,大家还有印象吗?这是非常重要的因式分解方法,简单的,如果x²前的系数是1,那么大家都会很快速的做出来,因为大家在初中时,基本都只是针对常数项进行拆解,然后就解出来了。但是正是因为这种惯性思维,导致我们很容易忽略掉了二次项也是需要拆解的,就比如:

以上十字相乘法的第①步,要从中认识到,进入高中后遇到的x²前面的系数很多时候都不是1了,它可以是其他数字或者还可以是字母,要清晰记住:二次项也是需要拆解的,如上表中,3x²拆成3x乘以x,特别需强调的是,不能因此惯性思考,总是将ax²拆成ax乘以x,有些式子我们是可以拆成其他形式的,如6x²可以拆成6x乘以x,也可以拆成3x乘以2x。
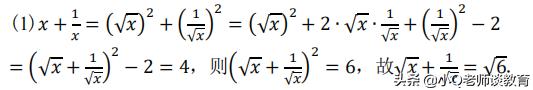
以上是因式分解的基础知识,在形式上大家肯定都没有疑问的,就比如我问大家:你们都会背完全平方公式吗?,我想你们绝大部分都可以背得出来,但是,是不是都会应用呢?我们来看看下面这一题:

【分析】
对于反应能力不那么敏感的同学,可能会通过已知条件把x的值去算出来,然后再代进需要你求的式子里面去求解,显然这操作是复杂且困难的;

我们需要观察,这两个式子中,都是互为倒数的形式相加,而且我们知道,互为倒数的数相乘的值为1,那么这里就用到了完全平方公式,因为如果你把式子进行平方,就会出现两项相乘的项,并且根号x的平方就等于x,那么关系就出来了。
【解】

讲到这里,我们有必要去思考一下,那么稍微改动一下呢?

大家可以停下来仔细想想,在草稿纸上计算一下再接着往下看。
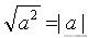
你是否算出来的答案与例1完全一样都是根号6呢?你是否直接将所求式子进行平方,然后再来开方呢?如果是的,请你思考一下,1-2=?
谁都知道1减去2等于-1呀,但是你想想,如果你把刚刚的问题解法套进去,你会得到什么,你会把(1-2)进行平方后再开方,那么算出来就是1了,你反应过来了吗?
在这里提出一个非常重要的公式,你们一定要记清楚:

所以例2的答案是正负根号6。
区别就是:例1求的数一定是正的,但是例2求的数有可能是正数也有可能是负数。
有了这个思想后,相同的类型题就不会难倒你了,如果想练练题的话可以私聊我。
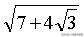
接下来第二种类型题,同样都是跟完全平方公式相关的。

【分析】
对于此类根号下方还带着根号的题目,解题的方向就是让你找到某个数,然后让这个数的平方之后等于根号里面的数,最后再根据例1提到的公式:一个数的平方再开方,值等于这个数的绝对值,即可得到答案。
那么我们怎么去找到这个数呢?我们要先来思考一下完全平方公式(a±b)²=a²±2ab b²,假设我们要找的那个数,其里面的a与b都是带根号的,那么这两个数单独平方后就会把根号去掉,唯独这两数的乘积中根号有可能去不掉,所以对应题目,大根号下的9就是a² b²,负4倍根号5则对应的就是2ab。

大家现在清晰了根号下再带根号的题怎么做了么?大家可以再练练:化简

由于篇幅有限,可能衔接重要的两个知识点要分5次左右发完,而且最后我发现,在文档里输入了的公式却不能导入头条里,所以排版有点奇怪,请见谅。

另外,有兴趣的可以关注一下。有疑问也可以私聊。
,
-
- 蚕的养殖技术及注意事项(桑蚕养殖技术要点)
-
2023-07-30 21:13:27
-
- 大学美术系都有什么专业(请收藏9大美术学院专业汇总)
-
2023-07-30 21:11:22
-
- 初三化学总复习资料推荐(初中化学62页复习笔记超全汇总)
-
2023-07-30 21:09:17
-
- 超声波电机靠什么驱动(最全面的超声波电机讲解来了)
-
2023-07-30 21:07:12
-
- 初学萨克斯买什么品牌的好(初学者注意:这6种途径购买萨克斯不会被坑)
-
2023-07-30 21:05:07
-
- 桂林特色美食推荐(桂林好吃的美食有哪些)
-
2023-07-30 21:03:02
-
- 地基加固的最好方法(三大地基加固方法)
-
2023-07-30 18:29:07
-
- 关于廉洁的故事(关于廉洁的故事三篇精选)
-
2023-07-30 18:27:00
-
- 好吃的烧烤美食推荐(撸串烧烤必吃的6种美食)
-
2023-07-30 18:24:55
-
- 单片机proteus教程(有了这个软件很多工作都变得轻松)
-
2023-07-30 18:22:48
-
- 机票改签被骗20万(厦门一女子退机票被骗近16000元)
-
2023-07-30 18:20:42
-
- 关于北海反传销(深度揭秘广西北海新型传销)
-
2023-07-30 18:18:36
-
- 超实用英语学习网站推荐(还在为学习英语而烦恼)
-
2023-07-30 18:16:30
-
- 四川的水煮肉片怎么做的(美食做法四川水煮肉片)
-
2023-07-30 18:14:24
-
- 老浦口火车站拍摄地(江苏有处火车站意外走红)
-
2023-07-30 18:12:18
-
- 冬季育儿知识(经典育儿故事)
-
2023-07-30 18:10:12
-
- 红米pro参数配置报价(双摄手机红米Pro开箱测评)
-
2023-07-30 07:01:50
-
- 化学纤维分类大全(93种化学纤维产品术语)
-
2023-07-30 06:59:45
-
- 地沟油是怎么处理的(图解地沟油的形成和再利用)
-
2023-07-30 06:57:40
-
- 红米5详细评测全集(千元机红蓝之战之红米5)
-
2023-07-30 06:55:35



刘惜君到底和谁结婚了 她跟毛不易发生啥了
十大同性恋网站-同性恋网站有哪些-同性恋网站排行榜