发动机的排量是多少(发动机排量是怎样计算的)
发动机的排量是多少(发动机排量是怎样计算的)
汽车排量就是气缸工作容积是指活塞从上止点到下止点所扫过的气体容积,又称为单缸排量,它取决于缸径和活塞行程。发动机排量是各缸工作容积的总和,一般用毫升(CC)来表示。发动机排量是最重要的结构参数之一,它比缸径和缸数更能代表发动机的大小,发动机的许多指标都同排量密切相关。

发动机排量怎样计算?
发动机排量=单缸排量×气缸数
单缸排量=(π×缸径×缸径)÷4÷1000×行程 (单位cc)
一般来说气缸排量只是一个大约的数值,一般会高于标的数值,不是说正好是48cc但肯定不会超过49cc。
缸径指的是直径,单位一般是毫米,单位换算的需要所以除以1000。
发动机排量计算公式
排量=圆周率 × 半径平方 × 高3.1416159 × 活塞半径mm × 活塞半径mm × 行程mm×缸数
发动机排量=圆周率 *半径平方 *3.1416159*活塞半径mm* 活塞半径mm * 行程mm×缸数
排气量简单计算公式
A:
活塞直径mm × 活塞直径mm × 行程mm × 0.7854(为一固定常数) ÷ 1000(换算为cc数) 搜索行程为活塞的上死点与下死点之距离原厂DIO排气量:39mm × 39mm × 41.4mm × 0.7854 ÷ 1000=49.45616676 cc 改装后之DIO排量:半套54mm汽缸,拉行程200条(200条即为2mm)54 × 54 × (41.4 2) × 0.7854 ÷ 1000=99.39582576 cc
B:
圆周率 × 半径平方 × 高3.1416159 × 活塞半径mm × 活塞半径mm × 行程mm 迪爵125原场排气量:3.1416159 × (52.4mm ÷ 2) × (52.4mm ÷ 2) × 57.8mm ÷ 1000=3.1416159 × 26.2 × 26.2 × 57.8 ÷ 1000=124.6478 cc
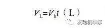
发动机排量是发动机各缸工作容积的总和,即单缸排量和缸数的乘积。设发动机的气缸数为i, 则

而气缸工作容积则是指活塞从上止点到下止点所扫过的气体容积,又称为单缸排量,它取决于缸径和活塞行程,其计算公式如下。

上式中:
D——气缸直径,mm
S——活塞行程,mm
轿车发动机的总排量可以作为区分轿车级别的标志。发动机总排量是指发动机全部气缸的工作容积之和,单位是升(L)。
我国轿车分级就是以发动机总排量做依据的。排量小于或等于1L,属于微型车;排量大于1L 且小于或等于1.6L,属于普通级轿车;排量大于1.6L 且小于或等于2.5L,属于中级轿车;排量大于2.5L 且小于或等于4L,属于中、高级轿车;排量大于4L,属于高级轿车。
一般排量越大的轿车,功率越大,加速性能越好,车的内装饰也越高级,其档次划分也就越高。如英国的劳斯莱斯轿车,排量就达到6.8L,德国奔驰S 级轿车,排量超过3L。
,
-
- 金砖五国是哪五国,金砖五国为啥只剩中国一金
-
2023-07-12 04:02:00
-
- 描写大海景色的优美段落,大海美丽景色的好词好句
-
2023-07-12 03:59:56
-
- 刘阳为什么分手(爱了五年出轨了五年)
-
2023-07-12 03:57:50
-
- 李渔的闲情偶寄翻译,闲情偶寄描写行房白话
-
2023-07-12 03:55:46
-
- 少先队辅导员述职报告(大队辅导员工作述职报告)
-
2023-07-12 03:53:41
-
- 张馨予和李晨当初为什么分手(分开8年后再看张馨予才明白)
-
2023-07-12 03:51:36
-
- 人类举办世界博览会的意义是什么(人类最早的博览会)
-
2023-07-12 03:49:31
-
- 工作计划如何写范文,普通员工个人工作计划
-
2023-07-12 03:47:26
-
- 间客结局是什么样的(间客中最热血的几个情节你最爱哪一个)
-
2023-07-12 03:45:21
-
- stp和mstp是什么(一文教你弄明白STP)
-
2023-07-12 03:43:16
-
- 去泰国旅游要带多少现金(为何去泰国旅游游客必须要带至少5000元现金)
-
2023-07-11 18:36:28
-
- 开童装店要多少资金(开一家童装店大概需要启动多少资金)
-
2023-07-11 18:34:22
-
- 中东的石油有多少储量(中东各国石油储量和产量到底有多少)
-
2023-07-11 18:32:16
-
- 易烊千玺目前票房多少(首位00后百亿票房先生)
-
2023-07-11 18:30:10
-
- 熹宗朱由校活了多少岁(历史故事不爱江山爱)
-
2023-07-11 18:28:04
-
- 研究生考试各科总分多少分(考研究生总分是多少)
-
2023-07-11 18:25:58
-
- 猴年马月是什么生肖呢(十二生肖的故事你又知道多少)
-
2023-07-11 18:23:52
-
- 埙是不是九千年以前的吹奏乐器(有多少人认识埙这种乐器)
-
2023-07-11 18:21:46
-
- 孙杨破10年世界纪录(亚运知多少八年三届奋战)
-
2023-07-11 18:19:40
-
- 长沙到常德需多少时间(长沙到常德仅需1小时)
-
2023-07-11 18:17:33



刘惜君到底和谁结婚了 她跟毛不易发生啥了
十大同性恋网站-同性恋网站有哪些-同性恋网站排行榜