怎么用生活所见,完全搞懂高速运动时间会变慢?
怎么用生活所见,完全搞懂高速运动时间会变慢?
生活中的一切物体变化都属于低速范畴,时间变慢最起码要达到光速的百分之一才会有显现。不过这个事,也不需要用太尖端的物理知识来理解。比如用生活中的火车、小汽车来举例,做一个思维实验也是可以解释清楚的。

时间变慢源于爱因斯坦狭义相对论中的钟慢效应,而整个狭义相对论的推导主要基于两条公理:
(1)在不同惯性系,物理规律都是相同的。
(2)光速不变:在不同惯性系,光的速度恒定为c。
钟慢效应也基于这两条公理,其定义是在不同惯性系下的观察者,时间流速不同,高速运动的物体,时间流速会变慢,下面举例子说明。
高速列车
随着科技的发展,在2100年,我们终于迎来了我们的1/2光速高铁,但随着高速的出现,出现了一个时间问题。

(1)一辆高铁以1/2光速行驶,在高铁上的乘客看了列车里的时钟,从起点到达终点,列车运行了1小时。
(2)但是列车时刻表上写着是需要行驶1.15小时,并且起点的管理人员,在高铁出发时电话告知了终点管理人员时间,终点管理员也的确发现列车在1.15h后准点进站。
问题来了,列车上的乘客和地面上的人员所观察到的时间,相差了0.15小时,那列车到底是行驶了1小时,还是1.15小时?

高铁上的乘车看的是高铁上的时间,地面上的管理员和列车时刻表指的地面上的时间,而高铁相对于地面高速运动。两个参考系有时间差,说明时间的流速并不相同。

在我们日常生活中,我们做高铁速度达到300km/h,即100m/s,并不会发生从高铁上下来,手表和地面上的表就对不上的问题。那1/2光速的高铁上到底发生了什么?下面我们做个小实验,清晰的了解一下,高铁上的时间和地面上的时间有什么关系。
光速与时间
我们假设一辆小车在你面前匀速行驶而过,小车底部有个射灯,当小车从A行驶到B时,小车底部的灯射出的光线,正好从底部射到了车顶。
然而车外的你和车内的驾驶员看到的情况并不一样,在车内观察到的情况是一束光线由车底射到顶部为一条直线。

而你站在路边,因为小车移动了,小车顶部位置发生了偏移,所以在你看来却是一条斜线。

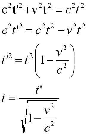
基于狭义相对性光速不变的公理,无论是车内竖直方向上的光速,还是地面你看到的光速都为c
,对于现实生活中,正常来说这件事应该是同时发生的,即t=t'。车内驾驶员看到的光线的路径为竖直方向,距离ct',小车行驶为vt,我们发现地面观察者看到光线运行的轨迹ct为三角形的一条斜边。显然 t 不等于 t' 。
我们所认为的同时发生的事件,在车内观察者和地面上的你看来,时间竟然不相等。问题出在哪了?

现实生活中,汽车的速度远远小于光速,那么上图画的肯定是有问题了,底边与斜边的比为光速与车速的比。如果车速是100m/s,光速是3x10^8m/s,那么比值为1/(3x10^6),这个数近似于零,底边应该很短才对。

由此可知当汽车速度远远小于光速时,直角边等于斜边,所以在日常生活中,我们可以无限约等于同时发生。不过这只是代表与光速相比,我们实在太慢,并没有感受到时间差,但并不代表底边不存在。
当小车变成飞船,达到高速运动状态,我们就可以感受到飞船内的时间变慢,我们可以通过三角形勾股定理计算出,t 与 t' 的关系。

由此我们可以发现,无论是图形,还是公式,都可以发现速度和时间是由有关系的。当现实生活中,我们的小车行驶速度远远小于光速时,v^2/C^2趋近于0,t和t'误差实在太小 ,忽略不计,所以事情近乎于同时发生。
时间变慢
而当高铁的速度为1/2光速时,产生的误差就无法忽略不计了。我们可以计算一下试试看:
v = 1/2c √ ̄1-(v^2/c^2)= √ ̄3/4 √ ̄3=1.732
t' = 1h 可以求出t=2/√ ̄3=2/1.732=1.15h
也就是高铁行驶1小时,地面上过去了1.15小时,高速运动的高铁,时间变慢了。

如果对面上有观察者能看到车内的情形,那么他会观察到车内所有的事物都在减速播放,就像是我们看视频可以设置0.5倍速,0.75 倍速,准确的来说此时高铁上为0.87倍速(1/1.15=0.87)播放。因为减速播放,所以原来1小时的高铁“电影”,现在需要播放1.15个小时。
时间凝固
小车越快,时间变慢越明显,当小车的无限趋近于光速时,那么同为时间 t,小车速度无限接近c的底边将和斜边光速c无限接近,三角进行底边和斜边近乎于重合,直角边将无限趋近于0,因为光速不变,直角边为ct',也就是说车内的时间 t' 将无限趋近于0。

这个数学结果翻译过来的现象就是小车无限趋近于静止,时间凝固,车内一瞬间,车外地球已经演化了,宇宙已经热寂了,就好像播放器按了暂停键,“电影”永远定格在那个画面。

为何会这样?因为作为万物变化的量度——时间,与空间是互相存在的,而不是独立存在的,它们的组合用来描述物体的变化的快慢,比如速度,而光速不变制约了变化的快慢(速度)。

-
- 揭秘!为什么非洲人宁愿饿死也不种地?原来他们穷是有原因的
-
2024-06-17 10:19:00
-
- 晓星尘为什么把双眼都给了宋岚,而不是一人一只?背后原因感人
-
2024-06-17 10:16:54
-
- 郭采洁为什么一直是短发,看完图4的长发造型,网友们恍然大悟
-
2024-06-17 10:14:48
-
- 郑爽为什么总是空气刘海,看完留齐刘海的她,你就明白了!
-
2024-06-17 10:12:42
-
- 男子存1.2吨硬币是怎么回事 1.2吨硬币多少钱为什么存这么多?
-
2024-06-17 10:10:36
-
- 德国桑拿房为什么不区分男女?男女混用不尴尬吗?看完长见识了
-
2024-06-17 10:08:30
-
- 宝宝学步鞋哪种款式好?学步鞋款式推荐
-
2024-06-17 10:06:24
-
- 豆娘为什么叫豆娘?如何辨别豆娘和蜻蜓?
-
2024-06-17 10:04:18
-
- 快手主播兮妹为什么要离开716?
-
2024-06-17 10:02:12
-
- 徐脂虎为什么活不长?《雪中悍刀行》徐脂虎是谁演的?
-
2024-06-17 10:00:06
-
- 《香蜜》中月下仙人为何容颜不老, 锦觅初次见面就说出原因
-
2024-06-17 02:39:24
-
- 史上最科幻战机-苏47“金雕”,为何最终销声匿迹?
-
2024-06-17 02:37:19
-
- 卡卡西为何一直戴着面罩,不只为遮挡写轮眼,只有带土能理解
-
2024-06-17 02:35:14
-
- 桓台猪龙河为何分东西两支?
-
2024-06-17 02:33:10
-
- 众豪门公子哥为何猷亨庆生,何猷亨搂美女出镜,众人举焰火庆祝
-
2024-06-17 02:31:05
-
- 唐僧迟重瑞,当年为爱退出娱乐圈,为何娶大10多岁的她?真相揭秘
-
2024-06-17 02:29:00
-
- 22岁智障女下嫁55岁光棍,婚礼上女孩大哭,父母此举是为何?
-
2024-06-17 02:26:55
-
- 热巴明明纤瘦,为何要称呼她为"胖迪"?原因竟与经纪公司有关?
-
2024-06-17 02:24:50
-
- 电竞也能技术入股?A+, 韦神,LGD接连实锤周莉莉所为何事
-
2024-06-17 02:22:45
-
- 上阳赋:吴谦被捕后为何至死都不说出王蔺的对手是谁,原因很简单
-
2024-06-17 02:20:40



刘惜君到底和谁结婚了 她跟毛不易发生啥了
十大同性恋网站-同性恋网站有哪些-同性恋网站排行榜