26 引力本质被揭开,自由落体运动是共核惯量守恒定律下惯性运动
26 引力本质被揭开,自由落体运动是共核惯量守恒定律下惯性运动
引言
水总是往下流,人跳起来最后总被拉向地面,地面上空的一切质量物体始终朝向地面下落,传说苹果落地砸在牛顿头上,从而有了引力学说和万有引力定律。
引力学说认为:之所以发生以上现象,其原因是地球对这些物体有引力,引力是质量物体之间的相互吸引,是质量物体之间超距作用。
引力学说诞生300多年来,为天体物理学增添了内容与活力,赢得了一片喝彩。
但是,引力产生的机制、本质和传播方式成为物理学的不解之谜,在量子力学领域格格不入,相对论抛弃了它;而爱因斯坦则认为,引力根本不存在,它是时空中质量物体的形变,是一种时空弯曲。
爱因斯坦写下时空张量的引力场方程,却是一个无法求解的微分方程,并没有实质性的作用,但他预言了引力波,而当引力波被测定的那一刻,爱因斯坦变得更为伟大。

但是,今天这篇文章请求再回到伽利略时代,分析和计算自由落体运动,揭示自由落体运动遵守共核惯量守恒定律,在共核惯量守恒定律下,确定了自由落体运动的概念和性质:
自由落体运动是不受任何外作用下渐近核心的共核运动,其任意时刻轨迹点上的共核惯量守恒,是天体运动中一种共核惯性运动形式。
其共核惯量守恒方程为:

(26引言1)
以此步步推导得到:
天体质量物体具有共核惯量而永不停息的作共核惯性运动以保持共核惯量守恒,作共核惯性运动时任意轨迹点上所具有的运动力,与虚构的引力大小相等,方向一致,因此,地球对地面物体具有引力是一种直觉错觉,这种超距的质量引力根本不存在,这就是引力本质。
26.1 共核惯量守恒定律的基本内容
共核惯量守恒定律的基本内容:
宇宙所有运动都能确定为一个点(或轴)为核心参照系的共核运动,在不受任何外作用下物体都将作永恒的共核惯性运动,且其任意时刻轨迹点上的共核惯量守恒,这就是共核惯量守恒定律。
作参照系的点(或轴)叫做核心;相对同一核心作共核运动的所有质量物体,叫做共核系。
把作共核运动的物体质量、核心距离与速度平方的乘积,称为共核惯量,则共核惯量的数学表达式:

(26.1.1)
在不受外作用下,把满足任意时刻轨迹点上共核惯量守恒的共核运动,称为共核惯性运动。
在共核惯性运动中若质量不变,则其任意时刻轨迹点上核心距离与速度平方的乘积恒等于一个常量,叫做共核常量。
在同一共核系中的公转、自转和自由落体(抛体)运动中,满足任意时刻轨迹点上的共核惯量守恒,因此有天体运动的共核常量恒等方程,即:

(26.1.2)
附共核常量方程中量纲表(26-1-1)

(26-1-1)
共核常量方程中,实际统一了四种基本天体运动:即公转、自转、自由落体和自由抛体运动,也整合了开普勒周期定律和万有引力定律。
第一项叫公转共核常量,第二项叫自由落体共核常量,第三项叫自转共核常量,第四项叫开普勒共核常量,第五项叫万有引力共核常量,最后一项叫共核系常量值,当然,不同的共核系有不等的共核常量值,列表(26-1-2)即:

(26-1-2)
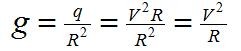
根据共核常量方程,则共核系空间任意位置点的重力加速度等于共核常量与核心距离的平方比,即:

(26.1.3)
为此,可以列表计算地月系空间各个位置点的重力加速度值(26-1-3):

(26-1-3)
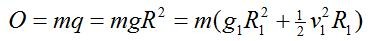
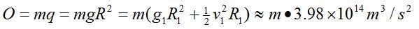
这表示,在整个地月系空间中,任何一个空间位置点当确定核心距离时,就对应一个确定的重力加速度值,而任意位置点的自由落体共核常量值恒等,因此自由落体运动中在任意空间位置点的共核惯量是守恒的,即:

(26.1.4)
该表达式是地面自由落体运动的共惯量守恒方程,第三项表示作自由落体运时空间任意初始点的共核惯量,而第四项是自由落体下落过程中的共核惯量,其中R1是自由落体运动中任意轨迹点的核心距离,g1、v1是核心距离对应的重力加速度和下落速度,q为地月共核系常量值。
26.2自由落体运动是惯性运动的主要论点
以地球地面为例,其学术论点如下:
第一:自由落体运动的共核惯量方程
自由落体运动在空间任意初始点的共核惯量守恒,下落过程中任意时刻轨迹点上共核惯量守恒,因此有自由落体运动的共核惯量守恒方程和共核常量恒等方程:即:

(26.2.1)
质量物体朝向地心运动是其渐近地心的共核惯性运动,是保持共核惯量守恒的一种运动状态,自由落体运动是质量物体具有共核惯量下的禀性,不需要任何力的作用。
经典物理学认为作自由落体运动具有加速度,因此必然受到力的作用,这种力就是地球施加的引力,这源于牛顿惯性定律对惯性的定义。
而共核惯量守恒定律确定惯性的新定义是:在不受任何外力作用下,质量物体将永不停息的作共核惯性运动,其任意时刻轨迹点上的共核惯量守恒 。
因此,共核惯量守恒定律下的惯性运动,可以是直线运动,也可以是曲线运动;可以是匀速运动,也可以是变向的加(减)速运动;只要其满足任意时刻轨迹点上的共核惯量守恒,则认定其为共核惯性运动。
自由落体运动是不受任何外作用下,满足任意时刻轨迹点上的共核惯量守恒的共核惯性运动,经典物理学认为质量物体作自由落体运动,是因为地球的引力作用,这是为满足牛顿惯性定律而虚构的力,事实上这种引力根本不存在。
假设地球是空心的没有任何质量,引力自然就不存在,但地面上的质量物体仍将持续朝向地心下落,直到最后落于地心后将变换为自转运动,而作自转运动时依然保持共核惯量守恒。
共核惯量守恒的机制就是:作共核运动的质量物体具有共核惯量,在不受任何外作用下共核惯量不会凭空消失与增加,因此质量物体必然保持共核惯量守恒而作永恒的共核惯性运动,且只会从一种惯性运动形式转变为另一种惯性运动形式。
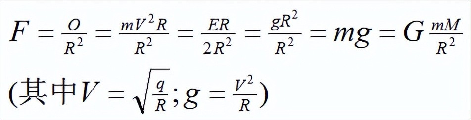
第二:运动力与万有引力的关系式
自由落体运动中任意轨迹点因为运动而具有力,称为运动力,运动力是共核惯量与核心距离平方比,运动力也是能量E的作用效果,即有:

(26.2.2)
这里运动力的表达式与万有引力定律实现了统一,表示当质量物体作自由落体运动时,其任意轨迹点所具有的运动力与虚构的引力大小相等,方向一致,因此经典物理学把这个运动力误解为引力,证明超距的地球引力根本不存在。
引力实质是宇宙天体作共核惯性运动(公转、自转、自由落体运动)时,任意轨迹点所具有的运动力,这就是引力本质。
第三:摆脱经典物理学引力的几种情形
在以下几种情形下,经典物理学的引力将消失,处于完全失重状态。
(1)地面上的物体具有7.9km/s绕行地心的速度,或在任意空间中具有广义的第一宇宙速度,质量物体将不会作自由落体运动而作公转运动,且完全失重;
这是因为7.9km/s的速度满足地月共核系的共核惯量守恒和共核常量方程,即:

(26.2.3)
(2)若地球自转速度达到7.9km/s,自由落体运动将不复存在,地面物体将完全失重;这是因为其自转共核惯量等于共核系惯量,满足共核常量恒等方程,实现了共核惯量守恒,即。

(26.2.4)
(3)如果地球半径为42164km,那么地球的自转速度就是3.072km/s,这样地球上的一切物体将失重,自由落体运动将不复存在。
同理:在赤道地面上架设一台云梯,若高度离地为35786km,即同步卫星高度,则核心距离是42164km,那么云梯最上面的质量物体将完全失重,它不会作自由落体运动而落地,将悬挂在空中静止,这是因为云梯最上面的自转速度具有3.072km/s。
同样,假设赤道地面一座山峰海拔为35786km,则核心距离是42164km,那么山顶上的物体将完全失重,物体只要离开山顶,就是一颗同步卫星,因为山顶具有3.072km/s的自转速度。
这是因为:在地面上当核心距离等于42164km时,质量物体具有的自转速度满足自转共核常量恒等方程,实现了共核惯量守恒;即:

(26.2.5)
(4)若质量物体在地面上具有11.2km/s的速度,或在任意空间位置具有广义的第二宇宙速度,质量物体将作自由落体运动的逆运动,即作自由抛体运动,物体也将完全失重,并无限远的离开地面,且在任意时刻轨迹点上的共核惯量守恒,共核常量恒等。
因为地面物体具有11.2km/s的速度将作自由抛体运动,满足共惯量守恒,有共核常量方程:

(26.2.6)
人使劲的往上跳最后还是要落地,原因是上跳的速度小于11.2km/s,当等于或大于11.2km/s时,不再需要任何动力就可以无穷远的离开地面,这不是克服了地球引力,而是实现了作自由抛体运动的共核惯量守恒。
总之,以上例举的情形不是质量物体摆脱了地球引力,而是地球引力根本不存在,只是这些运动形式满足了共核惯量守恒,是共核惯量守恒下惯性运动形式。
对于上述论点的理解,请关注作者翻看合集文章第3、4、5、6、9、10篇文章。
因此作出的结论是:
地面上的物体朝向地心作下落运动,不是受到地球引力作用,而是质量物体本身具有共核惯量而作朝向地心的自由落体惯性运动,这是自发的禀性运动,并没有受到任何力作用,反而是因为运动而具有力,这种力被误读为引力。
惯性运动不仅仅是静止或匀速直线运动状态,更多的惯性运动状态是任意时刻轨迹点上的共核惯量守恒;
力不是促使物体运动的原因,也不是产生加速度的原因,力只是改变物体运动形式的原因,但是运动却能产生力或者说具有力,当两个物体相互作用时运动力才会发生力的传递,显示出力的作用效果,这就是力的相互作用。
因此不得不严重点说:引力学说如同17世纪前的地心学说,它是完全错误的,由其导出核心天体引力学说和宇宙大爆炸理论,无疑让天体物理学在错误的道路上走得更远,人类对宇宙的认识应该回过头来,以共核惯量守恒定律为基础来重新诠释天体运动与宇宙形成。
-
- 乐嘉自曝大瓜:对李玟的遭遇深感痛心,亲自揭开当年被封杀真相
-
2026-01-03 06:06:18
-
- 1994年世界杯,哥伦比亚球员将球踢进己方球门,回国后惨遭枪杀
-
2026-01-03 06:04:04
-
- 1864年幼天王洪天贵福遭凌迟,全身被剐千刀,行刑现场惨不忍睹
-
2026-01-03 06:01:50
-
- 214国道—能和318相媲美的景观大道
-
2026-01-02 11:29:42
-
- 徐梵溪:没有婚姻,也没有孩子,男友花5亿娶李小冉,她低调成全
-
2026-01-02 11:27:28
-
- 这些已经出柜的欧美男星,个个都是人间绝色
-
2026-01-02 11:25:14
-
- “天使笑容”郑多彬:母亲正与病魔斗争,她却男友家自杀死因成谜
-
2026-01-02 11:22:59
-
- 1951年,大恶霸地主李润之被处决,留下巨额财宝至今未被找到
-
2026-01-02 11:20:45
-
- 韩国世越号事件:300学生惨死海中,总统却消失7小时,真相是啥?
-
2026-01-02 11:18:31
-
- 仅2米长重215公斤,前古巴领导人养它当宠物,古巴鳄珍贵吗?
-
2026-01-02 11:16:16
-
- 《资治通鉴》周纪~十一:田单即墨之战
-
2026-01-02 11:14:02
-
- 南京审计大学实力到底怎么样
-
2026-01-02 11:11:47
-
- 巩俐竟承认私生子?张艺谋连夜赴法认亲?难道嫁老外连孩子也不要
-
2026-01-02 11:09:33
-
- 热门丨2024龙年寻觅真爱无须等待,520来这里吧!→
-
2026-01-01 06:11:36
-
- 南里美希:从稚嫩甜妹到成熟迷人大姐姐
-
2026-01-01 06:09:22
-
- 河南最坑人的景点「郭亮村」,宰客没商量
-
2026-01-01 06:07:08
-
- 阿娇:当年的那段“艳照门”事件,差点“毁”了她的人生
-
2026-01-01 06:04:53
-
- 赵文卓赌上演艺生涯也要说出来的话,甄子丹赵文卓事件他是受害者
-
2026-01-01 06:02:39
-
- 尿液颜色不对?孕期实用的尿液颜色小知识都在这里
-
2026-01-01 06:00:25
-
- 焢肉,焢肉家常做法,台湾要吃的美食,好吃不油腻,能多吃两碗饭
-
2026-01-01 05:58:11



越南“第一美女”肤白貌美,性感气质佳
中国最脏的女明星排名(十大最不干净女明星)